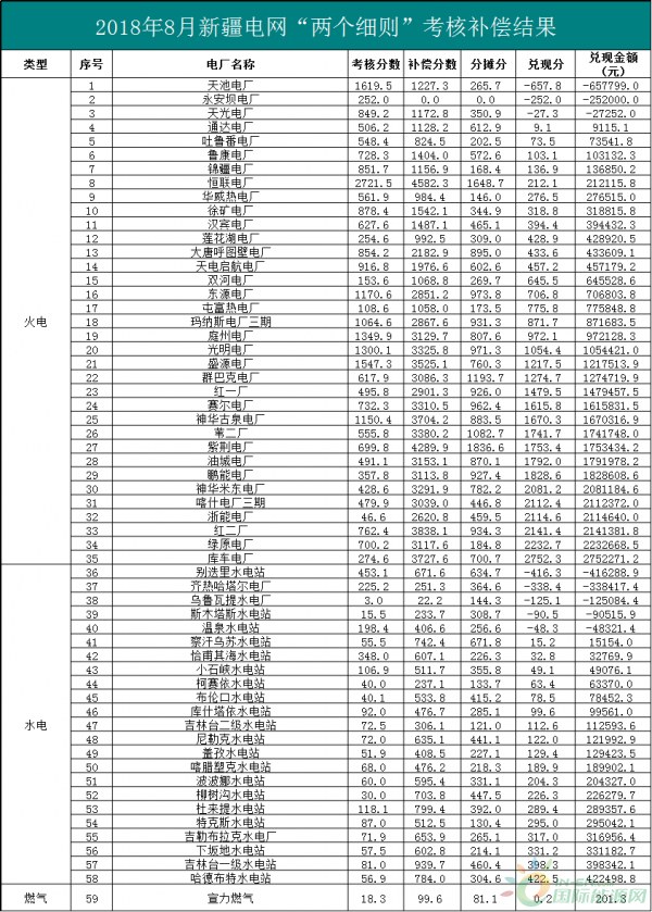
10月9日,國家能源局新疆監管辦發布《關于公示2018年8月份新疆電網“兩個細則”考核補償情況》的通知。根據《<西北區域發電廠并網運行管理實施細則>及<西北區域并網發電廠輔助服務管理實施細則>的通知》規定,現將2018年8月份新疆電網發電廠并網考核和輔助服務補償結果予以公示,公示期為4個工作日(自2018年10月9日至2018年10月12日止)。據國際能源網/風電頭條整理,2018年8月份新疆電網共181個風電場參與考核,總考核分數為15661.81,分攤分為13257.748, 兌現分為-28919.559,兌現金額為-28919556.53元。
2018年8月新疆電網“兩個細則”考核補償結果(風電)





詳細通知如下:







責任編輯: 李穎